КАК НАЗЫВАЕТСЯ УРАВНЕНИЕ КОТОРОЕ СОДЕРЖИТ ПЕРЕМЕННУЮ ПОД ЗНАКОМ ТРИГОНОМЕТРИЧЕСКИХ ФУНКЦИЙ
Уравнение, которое содержит переменную под знаком тригонометрических функций, называется тригонометрическим уравнением.
✓ Тригонометрия: с нуля и до ЕГЭ - #ТрушинLive #030 - Борис Трушин
Как решать уравнения с модулем или Математический торт с кремом (часть 1) - Математика
Решение уравнений вида tg x = a и ctg x = a
Арк-функции. Простейшие тригонометрические уравнения - Осторожно, спойлер! - Борис Трушин !
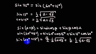
Значения тригонометрических функций некоторых углов. 9 класс.
10 класс, 23 урок, Методы решения тригонометрических уравнений
Простейшие тригонометрические уравнения. y=sinx. 1 часть. 10 класс.


















